Дискуссионный математический форумМатематический форум
Математический форум Math Help Planet

Обсуждение и решение задач по математике, физике, химии, экономике

Теоретический раздел
Часовой пояс: UTC + 3 часа [ Летнее время ]
новый онлайн-сервис
число, сумма и дата прописью

Часовой пояс: UTC + 3 часа [ Летнее время ]




Начать новую тему Ответить на тему  [ Сообщений: 5 ] 
Автор Сообщение
 Заголовок сообщения: Найти указанные пределы, не пользуясь правилом Лопиталя
СообщениеДобавлено: 08 дек 2014, 00:47 
Не в сети
Начинающий
Зарегистрирован:
08 дек 2014, 00:01
Сообщений: 4
Cпасибо сказано: 0
Спасибо получено:
0 раз в 0 сообщении
Очков репутации: 1

Добавить очки репутацииУменьшить очки репутации
Помогите пожааалуйста очень прошууу :( :cry:
Изображение

Вернуться к началу
 Профиль  
Cпасибо сказано 
 Заголовок сообщения: Re: Найти указанные пределы, не пользуясь правилом Лопиталя
СообщениеДобавлено: 27 дек 2014, 18:04 
Не в сети
Продвинутый
Зарегистрирован:
26 дек 2014, 01:19
Сообщений: 95
Откуда: Brazil
Cпасибо сказано: 0
Спасибо получено:
8 раз в 8 сообщениях
Очков репутации: 3

Добавить очки репутацииУменьшить очки репутации
1)

Изображение

2) " ... "

3) sen(β)-sen(θ)=2.sen( (β-θ)/2 ) cos( (β+θ)/2 ) | sen(2θ)=2sen(θ)cos(θ) | sen(3θ)=sen(θ). (2cos(2θ)+1)

...

Изображение

Вернуться к началу
 Профиль  
Cпасибо сказано 
 Заголовок сообщения: Re: Найти указанные пределы, не пользуясь правилом Лопиталя
СообщениеДобавлено: 27 дек 2014, 19:04 
Не в сети
Beautiful Mind
Зарегистрирован:
07 авг 2013, 15:21
Сообщений: 1027
Откуда: г. Липецк
Cпасибо сказано: 190
Спасибо получено:
126 раз в 118 сообщениях
Очков репутации: 16

Добавить очки репутацииУменьшить очки репутации
L-Br писал(а):
1)

Изображение

2) " ... "

3) sen(β)-sen(θ)=2.sen( (β-θ)/2 ) cos( (β+θ)/2 ) | sen(2θ)=2sen(θ)cos(θ) | sen(3θ)=sen(θ). (2cos(2θ)+1)

...

Изображение

Что такое sen?

Вернуться к началу
 Профиль  
Cпасибо сказано 
 Заголовок сообщения: Re: Найти указанные пределы, не пользуясь правилом Лопиталя
СообщениеДобавлено: 27 дек 2014, 19:10 
Не в сети
Beautiful Mind
Зарегистрирован:
07 авг 2013, 15:21
Сообщений: 1027
Откуда: г. Липецк
Cпасибо сказано: 190
Спасибо получено:
126 раз в 118 сообщениях
Очков репутации: 16

Добавить очки репутацииУменьшить очки репутации
Jenny576 писал(а):
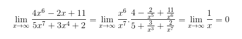
Помогите пожааалуйста очень прошууу :( :cry:
Изображение

2). (x-7)(x-2)=14-9x+x^2. (x-7)(2x+1)=2x^2-13x-7.

Вернуться к началу
 Профиль  
Cпасибо сказано 
 Заголовок сообщения: Re: Найти указанные пределы, не пользуясь правилом Лопиталя
СообщениеДобавлено: 27 дек 2014, 20:15 
Не в сети
Продвинутый
Зарегистрирован:
26 дек 2014, 01:19
Сообщений: 95
Откуда: Brazil
Cпасибо сказано: 0
Спасибо получено:
8 раз в 8 сообщениях
Очков репутации: 3

Добавить очки репутацииУменьшить очки репутации
sen= sin :sorry:

Вернуться к началу
 Профиль  
Cпасибо сказано 
За это сообщение пользователю L-Br "Спасибо" сказали:
victor1111
Показать сообщения за:  Поле сортировки  
Начать новую тему Ответить на тему      Страница 1 из 1 [ Сообщений: 5 ]

 Похожие темы   Автор   Ответы   Просмотры   Последнее сообщение 
Найти указанные пределы (не пользуясь правилом Лопиталя)

в форуме Пределы числовых последовательностей и функций, Исследования функций

makc59

3

425

17 фев 2018, 13:57

Найти указанные пределы, не пользуясь правилом Лопиталя

в форуме Пределы числовых последовательностей и функций, Исследования функций

Yuichka

2

198

26 май 2020, 17:00

Найти указанные пределы, не пользуясь правилом Лопиталя.

в форуме Пределы числовых последовательностей и функций, Исследования функций

ch131313

1

407

15 мар 2015, 15:00

Найти пределы, не пользуясь правилом Лопиталя

в форуме Пределы числовых последовательностей и функций, Исследования функций

serega46

15

1115

22 янв 2015, 19:23

Найти пределы функций, не пользуясь правилом Лопиталя

в форуме Пределы числовых последовательностей и функций, Исследования функций

volk010

11

1170

29 мар 2015, 18:22

Найти пределы функций, не пользуясь правилом Лопиталя

в форуме Пределы числовых последовательностей и функций, Исследования функций

TheNorby

3

369

11 дек 2016, 19:43

Найти пределы функций, не пользуясь правилом Лопиталя

в форуме Пределы числовых последовательностей и функций, Исследования функций

blackgold

11

741

09 май 2016, 20:29

Найти пределы функций, не пользуясь правилом Лопиталя

в форуме Пределы числовых последовательностей и функций, Исследования функций

XRYST

10

617

21 дек 2017, 15:17

Найти пределы функций, не пользуясь правилом Лопиталя

в форуме Пределы числовых последовательностей и функций, Исследования функций

intro96

3

670

28 дек 2014, 18:32

Найти пределы функций, не пользуясь правилом Лопиталя

в форуме Пределы числовых последовательностей и функций, Исследования функций

alexochka

6

919

11 май 2017, 07:37


Часовой пояс: UTC + 3 часа [ Летнее время ]



Кто сейчас на конференции

Сейчас этот форум просматривают: нет зарегистрированных пользователей и гости: 1


Вы не можете начинать темы
Вы не можете отвечать на сообщения
Вы не можете редактировать свои сообщения
Вы не можете удалять свои сообщения
Вы не можете добавлять вложения

Найти:
Перейти:  

Яндекс.Метрика

Copyright © 2010-2024 MathHelpPlanet.com. All rights reserved